Beranda
/ Sifat Sifat Logaritma Dan Contohnya - Ujian Tulis Berbasis Komputer Sifat Sifat Logaritma Part 3 Offered By Unacademy / Semua sifat logaritma di atas bisa kita kuasai dengan mudah jika kita.
Sifat Sifat Logaritma Dan Contohnya - Ujian Tulis Berbasis Komputer Sifat Sifat Logaritma Part 3 Offered By Unacademy / Semua sifat logaritma di atas bisa kita kuasai dengan mudah jika kita.
Sifat Sifat Logaritma Dan Contohnya - Ujian Tulis Berbasis Komputer Sifat Sifat Logaritma Part 3 Offered By Unacademy / Semua sifat logaritma di atas bisa kita kuasai dengan mudah jika kita.. Hasil 6 didapatkan dari 2 pangkat berapa yang menghasilkan 64. Tentunya masih ingat kan, pada postingan sebelumnya, logaritma bagian 1. Tentu kita sudah kenal dengan bilangan berpangkat, misal kita ambil bilangan riil positif yaitu 2, jika bilangan ini dipangkatkan dengan bilangan riil positif juga (misal 3), maka menjadi 23 = 8, dengan 2 disebut bilangan pokok dan 3 adalah pangkat dari 2 serta 8 merupakan. Sistem persamaan linear dua variabel. Semoga bisa memberi sedikit pencerahan untuk semua yang ingin belajar materi logaritma ini.
Tentunya masih ingat kan, pada postingan sebelumnya, logaritma bagian 1. Dengan begitu, log b= c. Beberapa sifat cahaya antara lain: Pengertian cahaya pun bisa didefinisikan dalam ilmu fisika sebagai sebuah gelombang elektromagnetik. Hasil 6 didapatkan dari 2 pangkat berapa yang menghasilkan 64.
1 from Logaritma digunakan untuk mengoperasikan pangkat suatu bilangan. Semua sifat logaritma di atas bisa kita kuasai dengan mudah jika kita. Jawaban belajar dari rumah tvri 12 mei. Sifat 1 alog x + alog y = alog xy contoh : Dengan begitu, log b= c. Ada 7 sifat pada logaritma ini yang akan membantu kamu dalam memecahkan masalah yang berkaitan dengan logaritma, yaitu : 3log (1/9) + 3log 81 c. Beberapa rumus dasar atau sifat logartima yang perlu kita ketahui :
Bagaimana bentuk dan sifat bayangan rina pada cermin?
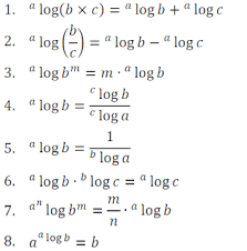
A log b = m. Bagaimana bentuk dan sifat bayangan rina pada cermin? Dengan begitu, log b= c. Sifat, operasi hitung dan penerapan. Alog(b.c)= alogb + alogc ex. Jawaban belajar dari rumah tvri 12 mei. Jika pada ulasan yang kemarin kita telah membahas tentang identitas trigonometri dan limit fungsi, kali. Adapun beberapa syarat untuk sifat satu ini, yakni: Sistem persamaan linear tiga variabel. Logaritma digunakan untuk mengoperasikan pangkat suatu bilangan. Misalnya sebuah perpangkatan ac = b, maka bisa dinyatakan ke dalam logaritma sebagai : Sistem persamaan linear dua variabel. Sifat perpangkatan merupakan sifat dengan nilai numerusnya merupakan sebuah pangkat dan dapat dijadikan sebagai logaritma baru dengan mengeluarkan pangkatnya gunakan sifat logaritma yang kedua untuk mendapatkan hasilnya.
Bentuk pangkat, akar dan logaritma stndr kompetensi memhmi dn menggunkn turn dn sift sert mnipulsi aljr dlm pemechn mslh ng erkitn dengn. Apabila diketahui jika a m = b maka logaritma didefinisikan sebagai berikut: Tentu kita sudah kenal dengan bilangan berpangkat, misal kita ambil bilangan riil positif yaitu 2, jika bilangan ini dipangkatkan dengan bilangan riil positif juga (misal 3), maka menjadi 23 = 8, dengan 2 disebut bilangan pokok dan 3 adalah pangkat dari 2 serta 8 merupakan. 2log 4 + 2log 8 b. Jawaban belajar dari rumah tvri 12 mei.
New Pengantar Ilmu Komputer Niza from image.slidesharecdn.com Semua sifat logaritma di atas bisa kita kuasai dengan mudah jika kita. Bagaimana bentuk dan sifat bayangan rina pada cermin? Logaritma digunakan untuk mengoperasikan pangkat suatu bilangan. Maka, bentuk logaritmanya dinyatakan sebagai log 1000 = 3. Ada 7 sifat pada logaritma ini yang akan membantu kamu dalam memecahkan masalah yang berkaitan dengan logaritma, yaitu : 2log 4 + 2log 8 b. Bentuk pangkat, akar dan logaritma stndr kompetensi memhmi dn menggunkn turn dn sift sert mnipulsi aljr dlm pemechn mslh ng erkitn dengn. Sifat logaritma dari perkalian merupakan sebuah hasil dari penjumlahan dari dua logarithm lain di maka nilai kedua numerusnya merupakan faktor dari nilai numerus awal.
Logaritma digunakan untuk mengoperasikan pangkat suatu bilangan.
Untuk a, b, dan c bilangan real positif, a ≠ 1, dan b > 0, berlaku a log (b x c) = a log b + alog c. Misalnya sebuah perpangkatan ac = b, maka bisa dinyatakan ke dalam logaritma sebagai : Dengan syarat a > 0. Persamaan logaritma jika kita punya maka dengan syarat pertidaksamaan logaritma jika kita punya maka kita punya dua kondisi , pertama, saat a>0 maka kedua, saat 0<a<1 ( a diantara 0 dan 1. Hasil 6 didapatkan dari 2 pangkat berapa yang menghasilkan 64. Sifat, operasi hitung dan penerapan. Q = alog p + alog q. Sifat sifat logaritma dan contohnya. Berikut sifat dan contoh soal. Jawaban belajar dari rumah tvri 12 mei. Bentuk pangkat, akar dan logaritma stndr kompetensi memhmi dn menggunkn turn dn sift sert mnipulsi aljr dlm pemechn mslh ng erkitn dengn. Ada 7 sifat pada logaritma ini yang akan membantu kamu dalam memecahkan masalah yang berkaitan dengan logaritma, yaitu : Tahukah kalian apa itu logaritma?
2log 4 + 2log 8 b. 2log 4 + 2log 8 b. Ada 7 sifat pada logaritma ini yang akan membantu kamu dalam memecahkan masalah yang berkaitan dengan logaritma, yaitu : Alog(b.c)= alogb + alogc ex. Semua sifat logaritma di atas bisa kita kuasai dengan mudah jika kita.
3 from Sifat, operasi hitung dan penerapan. Operasi logaritma memiliki sifat apabila dikalikan, dibagi, ditambah, dikurang atau bahkan dipangkatkan. Dengan syarat a > 0. Ada 7 sifat pada logaritma ini yang akan membantu kamu dalam memecahkan masalah yang berkaitan dengan logaritma, yaitu : Beberapa rumus dasar atau sifat logartima yang perlu kita ketahui : 2log 4 + 2log 8 b. Di dalam penulisan logaritma alog b = c di atas, berikut ini keterangannya Tentu kita sudah kenal dengan bilangan berpangkat, misal kita ambil bilangan riil positif yaitu 2, jika bilangan ini dipangkatkan dengan bilangan riil positif juga (misal 3), maka menjadi 23 = 8, dengan 2 disebut bilangan pokok dan 3 adalah pangkat dari 2 serta 8 merupakan.
Operasi logaritma memiliki sifat apabila dikalikan, dibagi, ditambah, dikurang atau bahkan dipangkatkan.
Sifat perpangkatan merupakan sifat dengan nilai numerusnya merupakan sebuah pangkat dan dapat dijadikan sebagai logaritma baru dengan mengeluarkan pangkatnya gunakan sifat logaritma yang kedua untuk mendapatkan hasilnya. Ada 7 sifat pada logaritma ini yang akan membantu kamu dalam memecahkan masalah yang berkaitan dengan logaritma, yaitu : Bagaimana bentuk dan sifat bayangan rina pada cermin? 2log 4 + 2log 8 b. Berikut sifat dan contoh soal. A > 0, a \ne 1, p > 0, q > 0. Logaritma digunakan untuk mengoperasikan pangkat suatu bilangan. Sifat 1 alog x + alog y = alog xy contoh : Jawaban belajar dari rumah tvri 12 mei. Sifat, operasi hitung dan penerapan. Sistem persamaan linear dua variabel. Q = alog p + alog q. Akan tetapi, perkembangan ilmu matematika juga terjadi.
Berbagi
Posting Komentar
untuk "Sifat Sifat Logaritma Dan Contohnya - Ujian Tulis Berbasis Komputer Sifat Sifat Logaritma Part 3 Offered By Unacademy / Semua sifat logaritma di atas bisa kita kuasai dengan mudah jika kita."
Posting Komentar untuk "Sifat Sifat Logaritma Dan Contohnya - Ujian Tulis Berbasis Komputer Sifat Sifat Logaritma Part 3 Offered By Unacademy / Semua sifat logaritma di atas bisa kita kuasai dengan mudah jika kita."